本网站支持IPv6
长者模式
繁體版
无障碍阅读
智能机器人
登录
|
注册
首页
走进陈仓
新闻中心
政府信息公开
政务服务
政民互动
数据陈仓
陈仓概况
行政区划
自然地理
历史文化
经济发展
魅力陈仓
陈仓要闻
部门工作
镇街动态
公示公告
热点关注
媒体关注
专题专栏
政府信息公开指南
政府信息公开制度
法定主动公开内容
重点领域信息公开
政府信息公开年报
申请公开政府信息
五公开
便民服务
投资服务
在线访谈
区长信箱
网上调查
民意征集
12345市民热线管理
网上信访投诉平台
公众参与
统计公报
统计数据
统计数据(图表)
当前位置:
首页
>
新闻中心
>
公示公告
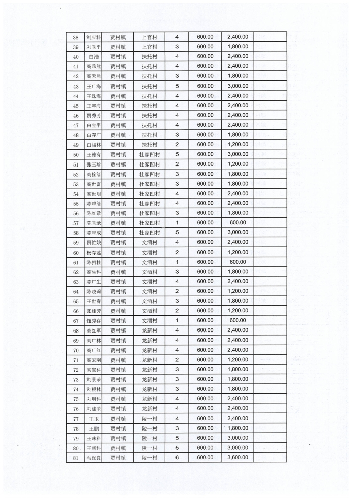
关于发放2024年大中型水库移民后期扶持直补资金的报告
来源:区水利局
发布时间:2024-03-13 10:10
分享:
附件下载
关闭
打印
上一篇: 陈仓区农民工劳动保障维权温馨提示
下一篇: 宝鸡市陈仓区市场监督管理局2024年度随机抽查工作计划