本网站支持IPv6
当前位置:
首页
>
长者专版
>
公示公告
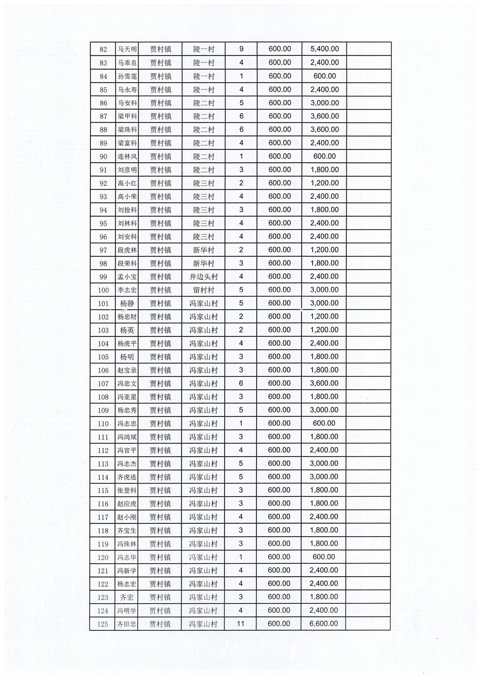
关于发放2024年大中型水库移民后期扶持直补资金的报告
来源: 区水利局
发布时间: 2024-03-13 10:10
分享:
附件下载
关闭
打印
上一篇: 陈仓区农民工劳动保障维权温馨提示
下一篇: 宝鸡市陈仓区市场监督管理局2024年度随机抽查工作计划